切换至 "中华医学电子期刊资源库"

中华介入放射学电子杂志 ›› 2026, Vol. 14 ›› Issue (01) : 20 -25. doi: 10.3877/cma.j.issn.2095-5782.2026.01.003

论著

糖尿病下肢ASO患者血糖控制水平对介入术后凝血功能及复发风险的影响
赵瑾洁1,2,(), 仲伟2, 郑国学2   
  1. 1 637000 四川南充,川北医学院
    2 629000 四川遂宁,遂宁市中心医院 血管外科
  • 收稿日期:2025-07-30 出版日期:2026-02-25
  • 通信作者: 赵瑾洁

The Impact of Glycemic Control on Post-Intervention Coagulation Function and Recurrence Risk in Patients with Diabetic Lower Extremity Arteriosclerosis Obliterans

Jinjie Zhao1,2,(), Wei Zhong2, Guoxue Zheng2   

  1. 1 North Sichuan Medical College, Nanchong 637000, China
    2 Department of Vascular Surgery, Suining Central Hospital, Suining 629000, China
  • Received:2025-07-30 Published:2026-02-25
  • Corresponding author: Jinjie Zhao
引用本文:

赵瑾洁, 仲伟, 郑国学. 糖尿病下肢ASO患者血糖控制水平对介入术后凝血功能及复发风险的影响[J/OL]. 中华介入放射学电子杂志, 2026, 14(01): 20-25.

Jinjie Zhao, Wei Zhong, Guoxue Zheng. The Impact of Glycemic Control on Post-Intervention Coagulation Function and Recurrence Risk in Patients with Diabetic Lower Extremity Arteriosclerosis Obliterans[J/OL]. Chinese Journal of Interventional Radiology(Electronic Edition), 2026, 14(01): 20-25.

目的

探讨糖尿病性下肢动脉硬化性闭塞症(diabetes-induced lower extremity arteriosclerosis obliterans, DLASO)患者血糖控制水平对血管介入术后凝血功能及复发风险的影响。

方法

将124例DLASO患者按术后是否复发分为复发组(46例)和未复发组(78例)。比较两组基线资料,分析血糖与凝血功能的相关性,并通过多因素回归及中介模型探讨其关系。

结果

复发组糖化血红蛋白A1c(Glycated hemoglobin A1c, HbA1c)≥7.0%、纤维蛋白原(fibrinogen, FIB)>4 g/L占比,以及血脂、血液流变学、血管内皮细胞生长因子(vascular endothelial growth factor, VEGF)、内皮素-1水平均明显高于未复发组,凝血酶原时间(prothrombin time, PT)、活化部分凝血活酶时间(activated partial thromboplastin time, APTT)、凝血酶时间(thrombin time, TT)水平均明显低于未复发组(P<0.05)。术后1周PT、APTT、TT水平与术后HbA1c水平之间呈负相关(P<0.05)。多因素分析显示,术后1周HbA1c、FIB、VEGF、APTT为DLASO患者复发的独立影响因素(P<0.05)。PT、APTT、TT与术后复发呈非线性剂量反应关系(P<0.05),且凝血功能指标在HbA1c水平与复发间起部分中介效应(P<0.05)。

结论

血糖控制水平与凝血功能相关,二者均为DLASO介入术后复发的独立影响因素,可为早期识别高复发风险患者提供参考。

Objective

To analyze the impact of glycemic control levels on post-interventional coagulation function and the risk of post-procedure recurrence in patients with diabetes-induced lower extremity arteriosclerosis obliterans (DLASO) on the coagulation function after vascular interventional therapy and the risk of postoperative recurrence.

Methods

A total of 124 patients with DLASO treated from October 2021 to October 2024 were enrolled. Patients were divided into a recurrence group (n=46) and a non-recurrence group (n=78) based on clinical outcomes. Baseline data and post-procedure coagulation function indices were compared. Pearson correlation was used to analyze the relationship between blood glucose levels and coagulation function. Risk factors for recurrence were identified using the Least Absolute Shrinkage and Selection Operator (LASSO) and multivariate logistic regression. The dose-response relationship between coagulation function and recurrence was assessed via restricted cubic splines (RCS). A mediation effect model was employed to evaluate the mediating role of coagulation function in the relationship between glycemic control and recurrence.

Results

The recurrence group had significantly higher proportions of patients with HbA1c ≥7.0% and FIB >4 g/L, as well as higher levels of blood lipids, hemorheology indices, VEGF, and endothelin-1, while PT, APTT, and TT levels were significantly lower compared to the non-recurrence group (P<0.05). Post-procedure PT, APTT, and TT at one week were negatively correlated with HbA1c levels (P<0.05). Multivariate analysis identified one-week post-procedure HbA1c, FIB, VEGF, and APTT as independent influencing factors for recurrence (P<0.05). There was a nonlinear dose-response relationship between one-week post-procedure PT, APTT, TT and recurrence (P<0.05). Coagulation function indicators at one week post-procedure mediated the relationship between HbA1c levels and recurrence (P<0.05).

Conclusion

Blood glucose control level is correlated with coagulation function, and both are independent influencing factors for recurrence after endovascular intervention in DLASO patients. These findings provide a reference for the early clinical identification of patients at high risk of recurrence.

表1 术后复发与未复发组患者临床资料比较
图1 HbA1c与凝血功能指标的相关性分析 1A,HbA1c与PT相关性;1B,HbA1c与APTT相关性;1C,HbA1c与TT相关性;HbA1c,糖化血红蛋白A1c;PT,凝血酶原时间;APTT,活化部分凝血活酶时间;TT,凝血酶时间。
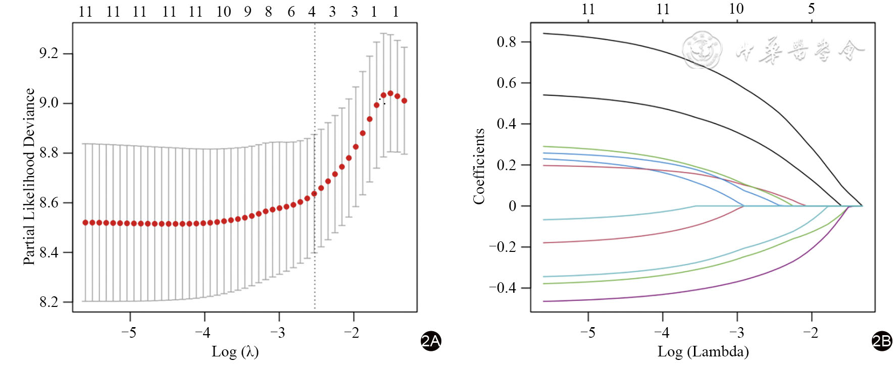
图2 LASSO回归变量筛选 注:2A,10倍交叉验证对最优变量的筛选;2B,临床特征系数曲线。
图3 多因素Logistic回归分析森林图 HbA1c,糖化血红蛋白A1c;FIB,纤维蛋白原;VEGF,血管内皮细胞生长因子;APTT,活化部分凝血活酶时间;Pvalue,P值;Odds Ratio,比值比(95% CI)。
图4 术后凝血功能指标与术后复发的剂量关系分析
表2 术后1周凝血功能指标对血糖控制水平与术后复发的中介作用
[1]
Zeng G, Jin YZ, Huang Y, et al. Transcriptomic Analysis of Type 2 Diabetes Mellitus Combined with Lower Extremity Atherosclerotic Occlusive Disease[J]. Diabetes Metab Syndr Obes, 2024, 17: 997-1011.
[2]
方欣, 刘含怡, 孟小虎, 等. 下肢动脉硬化闭塞症的治疗研究进展[J]. 浙江医学, 2024, 46 (10): 1009-1016.
[3]
郑月宏, 宋希涛. 下肢动脉硬化闭塞症治疗进展与展望[J]. 中华外科杂志, 2021, 59(12): 961-964.
[4]
Dimitriadis GK, Kaur J, Adya R, et al. Chemerin induces endothelial cell inflammation: activation of nuclear factor-kappa beta and monocyte-endothelial adhesion[J]. Oncotarget, 2018, 9(24): 16678-16690.
[5]
Zhang Y, Chen R, Jia Y, et al. Effects of Exenatide on Coagulation and Platelet Aggregation in Patients with Type 2 Diabetes[J]. Drug Des Devel Ther, 2021, 15: 3027-3040.
[6]
陶渊, 孙铭阳, 张加强. 麻醉重症监护病房非心脏手术患者术后急性肾损伤危险因素分析[J]. 广东医学, 2022, 43(9): 1080-1084.
[7]
Batiha GE, Al-Kuraishy HM, Al-Maiahy TJ, et al. Plasminogen activator inhibitor 1 and gestational diabetes: the causal relationship[J]. Diabetol Metab Syndr, 2022, 14(1): 127.
[8]
唐文涛, 刘杰, 徐章伦. 介入联合保守治疗下肢动脉硬化闭塞症的临床疗效及预后危险因素分析[J]. 中国现代医学杂志, 2022, 32(5): 93-100.
[9]
崔公让. 糖尿病肢体动脉闭塞症诊断及疗效标准(草案)[J]. 中西医结合心脑血管病杂志, 2004, 2(6): 352.
[10]
中华医学会外科学分会血管外科学组. 下肢动脉硬化闭塞症诊治指南[J]. 中华普通外科学文献(电子版), 2016, 10(1): 1-18.
[11]
孙艺玮, 陈炜, 秦巍, 等. 血管腔内介入治疗糖尿病足合并下肢动脉硬化闭塞症患者术后再狭窄与血清炎症因子的相关性[J]. 中华损伤与修复杂志电子版, 2024, 19(01): 34-40.
[12]
庄金满, 李天润, 李选, 等. Rotarex旋切导管在下肢动脉硬化闭塞症支架内再狭窄中的应用[J]. 北京大学学报(医学版), 2021, 53(4): 740-743.
[13]
王彦辉, 刘春阳, 方多多, 等. 复荣通脉方联合前列地尔注射液治疗糖尿病性下肢动脉硬化闭塞症临床研究[J]. 世界中西医结合杂志, 2022, 17(6): 1186-1189.
[14]
Lu Y, Wang L, Yu X, et al. Construction and validation of a nomogram model for predicting the risk of recurrence in patients with lower extremity arteriosclerosis obliterans after surgical intervention[J]. J Cardiothorac Surg, 2025, 20(1): 203.
[15]
张海丽, 王景, 于洋, 等. 温通汤加减治疗动脉硬化性闭塞症对血流动力学状态及凝血功能的影响观察[J]. 四川中医, 2020, 38(2): 85-88.
[16]
齐永乐. 血清内皮素-1及25-羟基维生素D水平与下肢动脉硬化闭塞症患者支架植入术后再狭窄的相关性[J]. 医学临床研究, 2024, 41(6): 916-918.
[17]
康海涵, 李飞, 吴成稳, 等. 脉络宁注射液在下肢动脉硬化闭塞症中对血液循环的改善及对血管内皮的影响[J]. 中华全科医学, 2022, 20(10): 1658-1661.
[18]
刘正峰, 曹孙航, 黄智强, 等. 阿加曲班对下肢动脉硬化闭塞合并血栓形成老年患者的疗效及对凝血功能的影响[J]. 药物评价研究, 2022, 45(4): 726-732.
[1] 朱君佑, 张骞, 赵止云, 甄妙, 谢举临, 李天娇, 舒斌. 色素上皮衍生因子在糖尿病创面愈合中作用机制的研究进展[J/OL]. 中华损伤与修复杂志(电子版), 2026, 21(02): 147-153.
[2] 牛磊, 褚万立, 魏茜, 石志远, 申传安. 糖尿病足溃疡患者营养管理的系统评估与精准干预[J/OL]. 中华损伤与修复杂志(电子版), 2026, 21(01): 54-57.
[3] 廖睿, 查天建, 刘小龙. RNA结合蛋白在糖尿病足溃疡中作用的研究进展[J/OL]. 中华损伤与修复杂志(电子版), 2026, 21(01): 75-79.
[4] 胡磊, 周建甫, 陈浩强, 刘雪花, 王志超, 向松涛. SGLT-2抑制剂与2型糖尿病患者腔镜泌尿手术后严重尿路感染的关系探讨[J/OL]. 中华腔镜泌尿外科杂志(电子版), 2026, 20(02): 179-184.
[5] 宋再桪, 胡锦中, 殷秋萍, 陈艺凌, 党天安, 牟泽中, 徐晨阳, 姜昊文. 凝血酶原时间与膀胱癌患者接受内镜下冷冻消融治疗后复发的相关性分析[J/OL]. 中华腔镜泌尿外科杂志(电子版), 2026, 20(02): 147-153.
[6] 汤乘, 瞿根义, 阳光, 徐勇, 江伟民. 基于GWAS数据库的2型糖尿病与勃起功能障碍两样本孟德尔随机化分析[J/OL]. 中华腔镜泌尿外科杂志(电子版), 2026, 20(01): 71-76.
[7] 贾斐然, 司树涵, 张晓羽, 徐晓华. 间充质干细胞治疗糖尿病肾病的研究进展[J/OL]. 中华细胞与干细胞杂志(电子版), 2026, 16(02): 110-118.
[8] 崔琳琳, 薛来恩, 付云烽, 王君竹, 郑和平, 路君, 徐永君. 大鼠羊膜间充质干细胞对STZ损伤的大鼠胰岛修复作用研究[J/OL]. 中华细胞与干细胞杂志(电子版), 2025, 15(06): 321-328.
[9] 王珍. 基于"肠-肾"轴探讨"内热致癥"病机在糖尿病肾病中的应用[J/OL]. 中华肾病研究电子杂志, 2026, 15(01): 60-60.
[10] 石淑勤, 贾国法, 柯希权. 酚磺乙胺联合雷贝拉唑治疗溃疡性上消化道出血的临床疗效及对患者氧化应激反应的影响[J/OL]. 中华消化病与影像杂志(电子版), 2026, 16(01): 31-35.
[11] 马博, 李涛, 董扬帆, 商少华, 马华, 王俊, 纪文静. 减重代谢手术改善2型糖尿病肥胖患者胃肠肽及血糖的前瞻性研究[J/OL]. 中华消化病与影像杂志(电子版), 2026, 16(01): 53-60.
[12] 崔子豪, 高健, 阳跃, 冯光, 庹晓晔. 糖尿病足溃疡患者营养状况与溃疡愈合预后的关系:一项单中心回顾性研究[J/OL]. 中华临床医师杂志(电子版), 2025, 19(10): 725-732.
[13] 王美琴, 潘海涛, 李月, 杨洋, 王砚青. 年轻女性神经源性直立性低血压合并卧位高血压一例[J/OL]. 中华临床医师杂志(电子版), 2025, 19(09): 720-724.
[14] 赵志琪, 吴晓丽, 刘若琪, 曲卓敏, 李董冉, 赵凌霞. 巨噬细胞在糖尿病肾病中作用及治疗药物[J/OL]. 中华临床医师杂志(电子版), 2025, 19(07): 544-549.
[15] 苏克敏, 孙静, 杨烁, 李艳英, 张梅, 刘福朋. 皮质醇水平与节律在2型糖尿病及其并发症中的研究进展[J/OL]. 中华诊断学电子杂志, 2026, 14(01): 66-70.
阅读次数
全文


摘要


AI


AI小编
你好!我是《中华医学电子期刊资源库》AI小编,有什么可以帮您的吗?